近日,由郑春丽教授带领的循环经济与生态修复协同创新团队硕士研究生王妍在环境领域顶级期刊《Journal of Hazardous Materials》(中科院1区TOP,IF = 11.3)发表重磅研究成果。团队首次将贝叶斯优化与多范式集成学习引入微生物诱导碳酸钙沉淀(MICP)修复铅污染领域,成功构建了兼具高精度与强解释性的智能预测框架,为重金属污染治理提供了全新的“数智化”解决方案。

亮点速览
1. 小样本,大作为:在仅168条实验数据的基础上,经贝叶斯优化的随机森林模型(BO-RF)表现超越复杂堆叠模型,R²高达0.9035,展现出卓越的预测能力。
2. AI揭示“钟形”规律:通过SHAP分析,首次在算法层面精准复现了尿素浓度的“底物抑制效应”,揭示了其非线性调控机制。
3. pH阈值锁定:明确识别出pH > 8.0的关键窗口,有效规避不稳定矿物相生成,为工艺控制提供了明确边界。
4. 稳定封存“锚点”:构建参数空间-晶相稳定性分区图,精准锁定有利于方解石生成的最优控制窗口,实现铅的长效稳定封存。
5. 从实验到工程:开发MICP-Pb AI交互平台,实现场地参数毫秒级响应,让修复方案从“经验试错”迈向“智能决策”。
全文速览

摘要图
研究内容
1. 研究背景与挑战
成果简介
土壤铅污染具有高毒性、难降解的特点,MICP技术因其绿色、高效而备受关注。然而,MICP过程受pH、底物浓度、初始铅浓度等多变量非线性耦合影响,传统实验方法难以精准捕捉其内在规律。
2. 数据构建与线性分析
为此,团队构建了包含168条高质量实验数据的精细数据库,通过皮尔逊相关性分析发现,各因子间存在复杂的协同与拮抗作用,传统线性模型难以胜任。

图1 皮尔逊相关性分析图
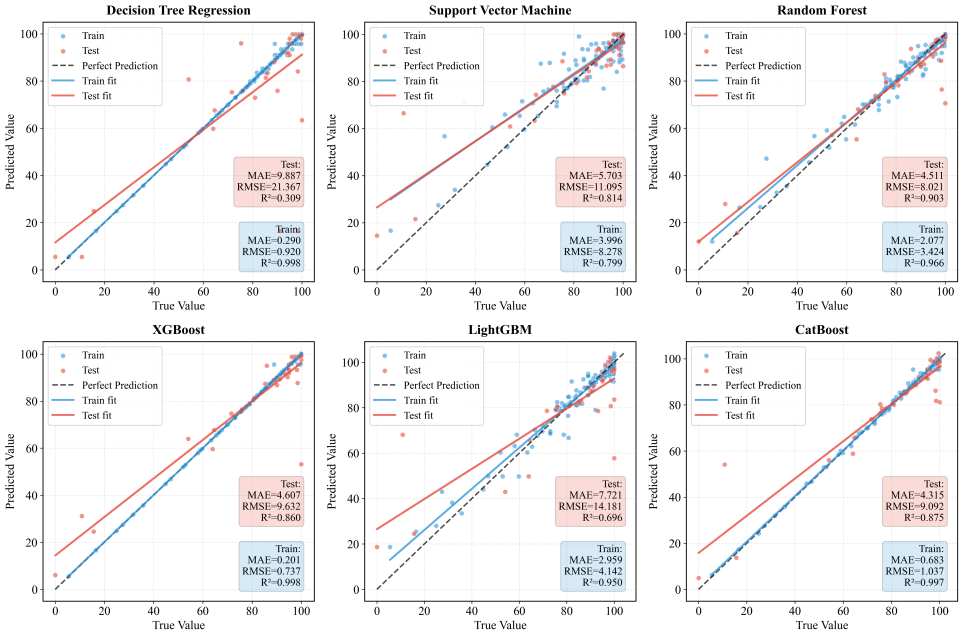
研究系统对比了决策树、支持向量机、随机森林、XGBoost、LightGBM、CatBoost等6种主流机器学习模型。结果显示,随机森林(RF)在散点拟合与多维度评估中表现最为稳健,避免了过拟合与波动捕捉不足的问题。

图2 6种模型散点预测图

图3 6种模型性能雷达图
为进一步提升预测上限,团队构建了Stacking集成框架,发现当元学习器为线性模型时,易受强共线性干扰;而采用非线性Stacking-RF时,模型显著提升了校准能力(R²=0.8956)。

图4 多策略Stacking集成框架

图5 多策略Stacking集成性能雷达图
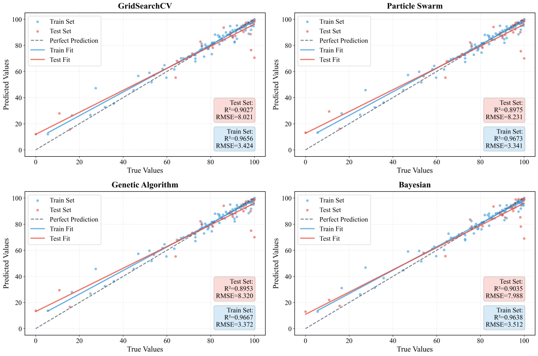
在超参数优化阶段,团队对比了网格搜索、遗传算法、粒子群算法与贝叶斯优化(BO)。结果显示,BO-RF在独立测试集上表现最优(R²=0.9035),验证了其在有限样本条件下“深度挖掘单一强模型”的性价比与稳健性。

图6 超参数对比图

图7 优化算法模型预测效果对比散点图
3. AI“解黑箱”:SHAP揭示三大主控因子
通过SHAP归因分析,研究明确了初始pH、尿素投加量、铅初浓度为影响MICP修复效率的三大枢纽因子。其中,pH被识别为第一控制变量:
- pH < 6.0时,脲酶活性显著抑制;
- pH > 8.0后,修复效率趋于稳定,验证了嗜碱性细菌的最优生理窗口。
尿素浓度在0–20 g范围内呈现显著正效应,超过20 g后出现“底物抑制”现象,精准复现了Haldane动力学机制。铅浓度则与修复效率呈显著负相关,揭示了高浓度铅离子对微生物的毒性约束。

图8 基于最优 BO-RF 模型的 SHAP 解释性分析图
4.从“去除”到“稳定”:结晶控制窗口的工程落地
研究进一步构建了参数空间-晶相稳定性分区图,发现在最优控制窗口内,不仅铅固定效率稳定在95%以上,且产物以热力学最稳定的方解石为主,有效规避了不稳定球霰石的生成风险,为重金属长效封存提供了理论依据。

图9 参数空间-晶相稳定性分区图
5.智能平台赋能工程实践
基于BO-RF模型,团队开发了MICP-Pb AI交互平台,用户只需输入场地关键参数,即可毫秒级获取修复效果预测与工艺优化建议,大幅降低试错成本,推动生物矿化技术从实验室走向工程化应用。

图10 MICP-Pb AI交互平台
文章链接:https://doi.org/10.1016/j.jhazmat.2026.141918
